About Harry Styles Young Kid
New Summer arrivals
Choose what you like on all
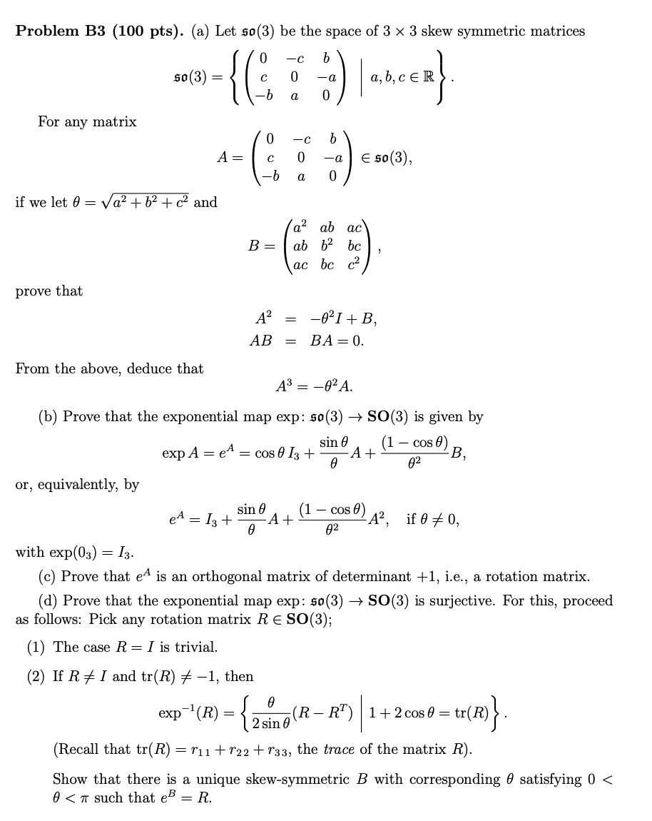
A3 B3 Questions
From our blog
What's new in the ? Check our blog!
What's new in the ? Check our blog!


Das Traumschiff Florian Silbereisen, Cold War Era Aesthetic, Nano Grey Audi A3 Sportback,